Электронная книга
КОНСТРУИРОВАНИЕ ОДЕЖДЫ
учебное пособие

Знания и практика для формирования инженерно-технической подготовки будущих конструкторов одежды
Книга "Конструирование одежды. Учебное пособие"
Электронная книга
КОНСТРУИРОВАНИЕ ОДЕЖДЫ
учебное пособие

Знания и практика для формирования инженерно-технической подготовки будущих конструкторов одежды
Книга "Конструирование одежды. Учебное пособие"


СТРАНИЦЫ
193 стр
А4
pdf

2 МЕТОДИКИ
ЦОТШЛ
ЕМКО СЭВ

ИЛЛЮСТРАЦИИ
Чертежи, рисунки, схемы
Удобно пользоваться

Формат книги pdf,
можно скачать на компьютер, телефон, планшет





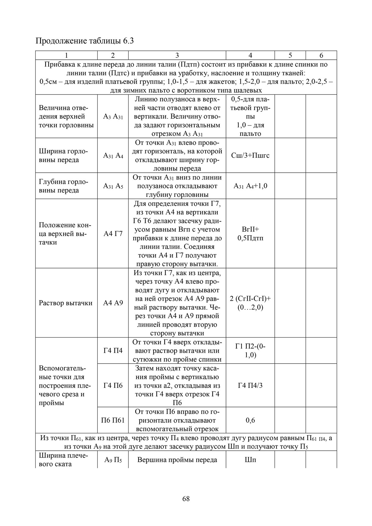
ТАБЛИЦЫ
Готовые таблицы для конструирования,
таблицы с прибавками

ЗАДАНИЯ
Контрольные вопросы
и задания для выполнения
в конце каждого раздела

ОДЕЖДА
Чертежи, рисунки, схемы
Для кого

Подготовлено по программе курса
«Конструирование изделий легкой промышленности» бакалавриата
- студентов
- любителей, кто хочет знать больше
- преподавателей
Структура пособия

Необходимая теория и практические приемы
для конструирования одежды собраны в одной книге
Ассортимент одежды
Классификация и требования к одежде
Внешняя форма одежды
Покрои, силуэты, характеристика конструкций
Прибавки и припуски
Классификация и виды.
Способы определения на основе
Методы конструирования
Классификация и характеристика
Определение конструктивных параметров
Методы графических построений
БК женской одежды по ЦОТШЛ
Исходные данные, расчет и построение БК жакета
БК мужской одежды по ЕМКО СЭВ
Конструирование поясных изделий
Характеристика юбок, конструирование прямой юбки по ЦОТШЛ и ЕМКО СЭВ
Конструирование одежды с рукавами
покроя реглан
Характеристика изделий, изменение передачи и спинки, расчет и построение рукава покроя реглан
Конструирование одежды с цельнокроеными рукавами
Характеристика изделий, изменение передачи и спинки, построение передней и задней частей рукава, ластовицы
Конструирование одежды с рукавами
рубашечного покроя
Расчет и построение рубашечного рукава
Конструирование воротников и капюшонов
Характеристика конструкций воротников, построение воротников для закрытой и открытой застежки
Что вы узнаете из книги

если будете читать и применять на практике
- Какие существуют формы, покрои и силуэты одежды, чем они отличаются и как характеризуются
- Какие методы конструирования одежды существуют, чем они отличаются друг от друга и какой нужно выбрать вам
- Какие существуют прибавки и их значения для различного ассортимента
- Как определить прибавки по лекалам готового изделия
- Как построить БК женского и мужского верхнего изделия
- Как построить конструкции изделий с рукавами различных покроев (реглан, рубашечный, цельнокроеный)
- Как построить БК прямой юбки
- Как построить конструкцию женских и мужских брюк
- Как построить конструкцию воротников

Убедитесь, что эта книга будет вам полезна

Подробное содержание пособия
Авторы книги


Анна Рукавишникова
- технический дизайнер, конструктор одежды
- кандидат технических наук
- член Союза Дизайнеров России
- учредитель образовательного центра конструирования и дизайна одежды "Fine Craft"
- доцент кафедры «Дизайн и конструирование изделий легкой промышленности» Донского государственного технического университете, педагогический стаж в вузе 17 лет
- эксперт и ведущий вебинаров компании Corel
- автор онлайн-курсов по созданию рисунков и конструированию в CorelDRAW, Adobe Illustrator
- автор книги "Энциклопедия мужской одежды в технических рисунках", где представлено более 1000 рисунков одежды
- автор учебных пособий и статей по техническому рисунку и конструированию одежды


Марина
Урванцева
- конструктор одежды
- доцент кафедры «Дизайн и конструирование изделий легкой промышленности» ДГТУ
- кандидат технических наук
- опыт работы на производстве 5 лет
- педагогический стаж в высшем учебном заведении 20 лет
Страницы из книги

Электронная книга
КОНСТРУИРОВАНИЕ ОДЕЖДЫ
учебное пособие

Знания и практика для формирования инженерно-технической подготовки будущих конструкторов одежды
Книга "Конструирование одежды. Учебное пособие"
Электронная книга
КОНСТРУИРОВАНИЕ ОДЕЖДЫ
учебное пособие

Знания и практика для формирования инженерно-технической подготовки будущих конструкторов одежды
Книга "Конструирование одежды. Учебное пособие"
При приобретении курсов, книг и других информационных продуктов вы подтверждаете факт ознакомления и безоговорочного согласия с условиями договора-оферты. Кроме того, согласно пункта 2 указанного договора, вы принимаете оферту и заключаете договор на указанных в нем условиях с момента оплаты, а также даете согласие на обработку ваших персональных данных.
Сайт: fine-craft.ru, fashion-craft.ru, edu-fc.ru
Email: info@fashion-craft.ru
Тел./WhatsApp: +7 928 606-47-19
Остались вопросы, напишите нам в телеграм-бот
ООО "Образовательный центр легкой промышленности и дизайна"
ИНН 6140016851
ОГРН 1246100001894
Лицензия № Л035-01276-61/01332303
Все права защищены.
Copyright © 2015-2025